Vous pouvez utiliser cet objet d'analyse pour filtrer les signaux. Vous pouvez choisir entre passe-bas, passe-haut, passe-bande et coupe-bande avec différentes caractéristiques.
L'objet fonctionne avec des filtres à réponse impulsionnelle infinie (IIR) , qui ont une rétroaction interne (filtres récursifs).
Résultat
Les coefficients de filtre calculés ou les pôles et les zéros peuvent être sortis comme résultat. Le résultat est une liste avec des coefficients numérateurs et dénominateurs ou des pôles et des zéros. Dans ce cas, aucun ensemble de données d'entrée ne doit être spécifié. Alternativement, le résultat peut être un signal qui est filtré en utilisant le filtre IIR calculé précédemment. Pour ce faire, un ensemble de données à filtrer doit être sélectionné dans l'onglet Données. Contrairement au résultat du signal filtré, les données du résultat du signal filtré avec correction de phase sont filtrées deux fois : une fois en avant et une fois en arrière. Cela permet d'éviter les déphasages.
Caractéristiques du filtre
Des filtres avec les propriétés suivantes sont disponibles :
•Filtre de Bessel: Filtre ayant un bon comportement de transmission en rectangle et une bande passante plate, mais avec une pente relativement faible.
•Filtre Butterworth: Filtre à bande passante plate et à forte raideur de front, mais instable avec des signaux d'entrée à forte raideur.
•Encore plus raide que le filtre Butterworth, mais avec une ondulation dans la bande passante. Cette ondulation peut être réduite au prix d'une diminution de la pente.
•Filtre de Tchebyshev inverse (filtre de Tchebyshev II): Affiche une ondulation égale dans la bande d'arrêt. Même lorsqu'il y a une grande distance par rapport à la fréquence de coupure, l'atténuation ne dépasse pas une certaine valeur.
•Filtre elliptique (filtre de Cauer): Le filtre présente une pente de filtre encore plus importante, avec une ondulation égale dans la bande passante et la bande d'arrêt et une réponse en phase non linéaire. La préférence est donnée à cette caractéristique de filtre pour une utilisation comme filtre antialiasing dans les applications CW (CW : continuous wave). Le filtre est décrit par une équation différentielle elliptique.
Type de filtre
Les filtres peuvent être utilisés comme passe-bas, passe-haut, passe-bande et coupe-bande.
Ordre
L'ordre du filtre détermine la raideur du filtre. Plus l'ordre est élevé, plus la pente du filtre est importante. Des ordres de filtrage élevés peuvent cependant conduire à l'instabilité des filtres IIR. Il est possible de spécifier un ordre fixe ou d'estimer l'ordre. Dans ce cas, vous devez spécifier les transitions au lieu des fréquences de coupure.
Fréquence de coupure / transition
Si l'ordre des filtres est fixe, vous devez indiquer une fréquence de coupure pour les filtres passe-bas ou passe-haut. Pour un passe-bande ou un coupe-bande, deux fréquences de coupure sont nécessaires. Si l'ordre du filtre est estimé, saisissez la limite inférieure et supérieure pour une (passe-bas, passe-haut) ou deux (passe-bande et coupe-bande) transitions.
Si vous cliquez sur l'option Utiliser des fréquences normalisées, toutes les informations de fréquence seront normalisées par rapport à la fréquence d'échantillonnage. Sinon, entrez les fréquences dans l'unité qui correspond à la valeur réciproque de l'unité de temps du signal à filtrer. En raison de la limite de Nyquist, seules les valeurs jusqu'à un maximum de 0,5 ou jusqu'à la moitié de la fréquence d'échantillonnage sont autorisées.
Spécifications
Pour le filtre de Tchebychev, l'ondulation Ap peut être choisie librement, pour le filtre de Tchebychev inverse, l'atténuation Aa peut être spécifiée, et pour le filtre elliptique, l'ondulation et l'atténuation sont toutes deux spécifiées. Comme alternative à l'ondulation et à l'atténuation, l'erreur de bande passante δp et l'erreur de bande d'arrêt δa peuvent être spécifiées lorsque le mode Erreur (Delta) est sélectionné au lieu de Ondulation/Atténuation.
Réponse en amplitude, réponse en phase, délai de groupe (Assistant d'analyse uniquement)
Sélectionnez ces options pour afficher des graphiques supplémentaires. La réponse en amplitude montre l'intensité de l'amortissement des différentes fréquences. La réponse en phase et le retard de groupe indiquent l'intensité de ces retards. Si une fréquence de 100 Hz a une phase de -180° par exemple, cela signifie qu'elle est retardée d'une demi-période, c'est-à-dire de 5 ms. Le retard est le même pour toutes les fréquences si la réponse en phase est une ligne droite décroissante. Le délai de groupe est alors une ligne horizontale.
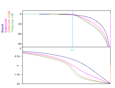
Exemple
L'illustration suivante montre le tracé de Bode avec la valeur absolue et les spectres de phase de certains filtres du quatrième ordre :

L'illustration suivante montre un signal à fréquence balayée, qui a été filtré à l'aide d'un passe-bande Butterworth du quatrième ordre. Dans la représentation logarithmique en X, les deux pentes apparaissent aussi raides l'une que l'autre :
